Graphical Transformations
Graphical Transformations: Geometric Description When doing graphical transformations, pay special attention to all the asymptotes and intercepts. The asymptotes and […]
Binomial Distribution: Virus
Binomial Distribution: NYJC 09/II/9 Solution
Vectors Dot Product
Solution
Volume of Revolution
Application of Integration: Volume of Revolution with Empty Void
R8 Q12 & 13 Solutions
R8 Complex Numbers Q12 & 13 Solutions
R7 Vectors II Q10 Solution
R5 Vectors: Lines & Planes Q10 Solution
R4: Integration Techniques
R4: Integration Techniques Q9 & 14 Solutions
R5 Differential Equations
R5 Differential Equations Q8 & 9 Solutions
R6 Vectors: Fundamentals
R6 Vectors Fundamentals Q7 & 8 Solution
Small Angle & Binomial Series
Printer Friendly
R1 Rates of Change
R1 Application of Differentiation: Connected Rates of Change Q1, 2 & 3 Solution
R2 Maclaurin Q4-6 Solution
R2 Maclaurin Series Q4,5 & 6 Solution Printer friendly Maclaurin Q4,5 & 6 Solution
R1 Tangents & Normals
R1 Tangents & Normals Q5 Solution Q6 Solution Printer Friendly
AOD: Maximum & Minimum
Application of Differentiation: Maximum & Minimum, Volume of Letterbox Solution Printer Friendly You might be interested in Application of […]
Binomial Distribution 1 s.d
Binomial Distribution Calculate the probability of a binomial distribution which is 1 standard deviation away from its mean. Solution
IJC 201/II/4 Modified Vectors
Solution
RVHS 2011 H2 Math Vectors
RVHS/2011/I/8 (Modified) Solution
P&C Assignment
Solution
Central Limit Theorem Eggs
Solution
Integration Techniques
Integration Techniques: MF 26 Inverse Trigonometry To get access to the MF26 Forumla List, please click here. Integration Techniques: Integration […]
NJC/2013/II/7
Sampling Theory: Sample Mean Solution
Application of Differentiation
Application of Differentiation Using Implicit Differentiation Solution
Binomial Series
Binomial Series: Finding the coefficient of the rth term
Complex Numbers: Q4
Complex Numbers: Factorising Quadratic Expression
Binomial Distribution & CLT
Central Limit Theorem & Binomial Distribution
GP: Time Interest of Money
Geometric Progression: Time Interest of Money
DE: By Substitution
Solving Differential Equations: By Substitution
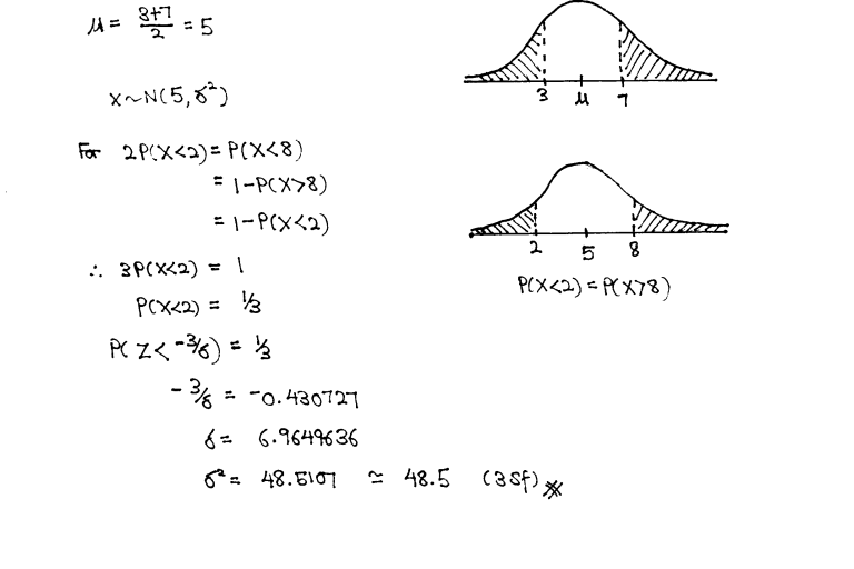
NYJC Normal Distribution
NYJC Normal Distribution Tutorial Q7(i) Solution
MJC/2012/II/10
Solution
